Автор: Денис Аветисян
Новое исследование посвящено разработке интуитивно понятных интерфейсов для плавного переключения между виртуальными окружениями, повышающих удобство и производительность пользователей.
Пока крипто-инвесторы ловят иксы и ликвидации, мы тут скучно изучаем отчетность и ждем дивиденды. Если тебе близка эта скука, добро пожаловать.
Купить акции "голубых фишек"
Исследование посвящено оптимизации пользовательских интерфейсов для быстрого и эффективного переключения между виртуальными мирами, с акцентом на визуальные превью и прямое взаимодействие с помощью рук.
Несмотря на развитость средств навигации в виртуальной реальности, переключение между различными виртуальными средами остается сложной задачей. В своей работе ‘From One World to Another: Interfaces for Efficiently Transitioning Between Virtual Environments’ исследователи изучили различные пользовательские интерфейсы, обеспечивающие эффективный переход между виртуальными мирами. Экспериментальное исследование с участием \mathcal{N}=22 испытуемых показало, что миниатюрные отображения миров (WiM) значительно улучшают пространственное восприятие, а порталы обеспечивают быструю предварительную ориентацию. Какие новые интерфейсные решения позволят сделать путешествия между виртуальными мирами еще более интуитивными и бесшовными?
Иллюзия Перехода: Проблема Смены Виртуальных Миров
Погружающая виртуальная реальность обещает богатый опыт, однако быстрые переходы между виртуальными “мирами” представляют собой значительную проблему с точки зрения удобства использования. Несмотря на технологический прогресс, резкая смена окружения может дезориентировать пользователя, нарушая ощущение присутствия и требуя дополнительных когнитивных усилий для адаптации. Эта проблема, известная как “переключение миров”, снижает эффективность и комфорт взаимодействия в виртуальной среде, препятствуя полноценному погружению и раскрытию потенциала VR-технологий. Исследователи активно изучают методы оптимизации этих переходов, чтобы минимизировать дискомфорт и обеспечить плавный, интуитивно понятный опыт для пользователей.
Неэффективный переход между виртуальными мирами способен значительно нарушить ощущение присутствия, ключевой элемент иммерсивности виртуальной реальности. Исследования показывают, что резкие смены окружения и несогласованность визуальных и вестибулярных сигналов создают повышенную когнитивную нагрузку на пользователя. Это проявляется в ощущении дезориентации, усталости и снижении способности к концентрации, что, в свою очередь, нивелирует преимущества, которые виртуальная реальность должна обеспечивать — будь то обучение, развлечение или терапия. Таким образом, оптимизация процесса переключения между мирами является критически важной задачей для создания комфортного и эффективного пользовательского опыта в VR.
Для обеспечения комфортной навигации в виртуальной реальности критически важно минимизировать нарушения восприятия пространственной ориентации пользователя. Исследования показывают, что резкие переходы между виртуальными мирами могут дезориентировать, вызывая дискомфорт и снижая эффект присутствия. Эффективные методы переключения должны стремиться к сохранению непрерывности пространственного опыта, позволяя пользователю быстро адаптироваться к новой среде без потери ощущения стабильности. Разработка интуитивно понятных и плавных механизмов навигации, учитывающих особенности человеческого восприятия, является ключевым фактором для создания действительно захватывающих и удобных виртуальных сред, способствующих максимальной вовлеченности и снижению когнитивной нагрузки.

Разнообразие Методов Переключения: От Палитр до Колец
В ходе исследования были изучены различные методы взаимодействия, включающие палитры, управляемые руками (HandPaletteInteraction) и головой (HeadPaletteInteraction), для выбора виртуальных миров. HandPaletteInteraction предполагает использование жестов рук для навигации и выбора, обеспечивая тактильное взаимодействие. HeadPaletteInteraction, напротив, использует направление взгляда пользователя для управления палитрой, что позволяет осуществлять выбор миров без использования рук и может быть полезно в ситуациях, когда руки заняты или недоступны. Оба метода были реализованы и протестированы для оценки их эффективности и удобства использования в контексте навигации по виртуальным средам.
Методы на основе прокрутки, такие как GalleryInteraction, предоставляли альтернативные подходы к просмотру виртуальных миров. Реализованы два варианта прокрутки: линейная (LinearScrolling), при которой скорость прокрутки прямо пропорциональна скорости движения пользователя, и неизоморфная (NonIsomorphicScrolling), обеспечивающая нелинейное перемещение по списку миров с возможностью быстрого доступа к удаленным элементам. Оба варианта позволили пользователям просматривать доступные миры посредством горизонтальной прокрутки, что отличалось от других реализованных методов, основанных на жестах или прямом выборе.
Для ускорения выбора виртуальных миров и предоставления пользователю более полной информации были реализованы взаимодействие с виртуальным колесом (WorldWheelInteraction) и методы прямого предпросмотра. WorldWheelInteraction позволяет пользователю быстро перемещаться по доступным мирам, визуально представленным на вращающемся колесе. Методы прямого предпросмотра, такие как PortalPreview и WiMPreview, демонстрируют предварительный вид выбранного мира непосредственно в интерфейсе, позволяя оценить его содержание до запуска, что сокращает время на принятие решения и повышает удобство использования.

Измерение Эффективности: Задача Подбора Объектов
В ходе исследования участникам была поставлена задача — выполнение задания ObjectCollectionTask в различных виртуальных мирах. Это позволило получить количественную оценку эффективности переключения между этими мирами. Задание заключалось в поиске и перемещении объектов, что дало возможность измерить время, затраченное на переключение, а также количество ошибок, допущенных в процессе. Полученные данные стали основой для сравнительного анализа различных интерфейсов и методов навигации в виртуальной среде, обеспечивая объективную метрику для оценки их удобства использования.
Оценка производительности осуществлялась путем измерения времени выполнения задания и количества ошибок, что позволило получить ценные данные об удобстве использования каждого из интерфейсов. Время выполнения фиксировалось в секундах, отражая скорость, с которой участники могли выполнить задачу ObjectCollectionTask в различных виртуальных мирах. Количество ошибок регистрировалось для выявления проблемных зон в каждом интерфейсе и оценки надежности взаимодействия. Комбинация этих двух метрик позволила провести количественный анализ и выявить статистически значимые различия между интерфейсами, что является ключевым для определения наиболее эффективного подхода к организации взаимодействия в виртуальной реальности.
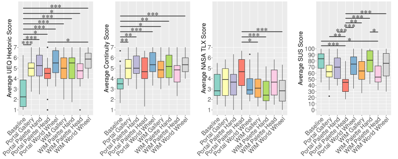
В ходе тестирования задачи ObjectCollectionTask было установлено, что использование методов предварительного просмотра значительно улучшает пространственную осведомленность и сокращает время переключения между виртуальными мирами. В частности, метод WiMPreview показал среднее время поиска объектов около 6.34 секунд (p<0.001), что статистически значимо. Интерфейс Hand Palette продемонстрировал наименьшее время извлечения объектов — около 5.01 секунды (p<0.001), что указывает на его высокую эффективность в задачах, требующих быстрого доступа к предметам.
Метод PortalPreview продемонстрировал статистически значимо более быстрое время размещения объектов, составив 2.02 секунды (p<0.001), по сравнению с базовым уровнем и методом WiM Preview. Данный результат указывает на повышенную эффективность интерфейса PortalPreview в задачах, требующих быстрого и точного позиционирования объектов в виртуальной среде. Статистическая значимость (p<0.001) подтверждает, что наблюдаемое различие в скорости размещения не является случайным и отражает реальное преимущество данного метода.

Архитектура Погружения: Влияние и Перспективы
Исследования подчеркивают, что эффективный переход между виртуальными мирами — это не просто вопрос скорости, а, прежде всего, обеспечение непрерывности и когерентности восприятия. Успешное переключение требует поддержания ощущения присутствия и последовательности, чтобы избежать дезориентации и когнитивной перегрузки пользователя. Важно, чтобы визуальные, звуковые и тактильные сигналы оставались согласованными при переходе, создавая иллюзию единого, плавного пространства. Непрерывность опыта позволяет пользователю сохранять ориентацию и ощущение контроля, что существенно повышает комфорт и вовлеченность в виртуальную среду, а также снижает вероятность возникновения неприятных ощущений, таких как головокружение или укачивание.
Исследования показывают, что снижение когнитивной нагрузки во время переключений между виртуальными средами имеет решающее значение для поддержания высокой вовлеченности пользователя и предотвращения укачивания. Перегрузка когнитивных ресурсов, возникающая при резких или нелогичных переходах, может привести к дезориентации и дискомфорту, что негативно сказывается на общем опыте взаимодействия. Стремление к минимизации этой нагрузки предполагает разработку интуитивно понятных и предсказуемых механизмов переключения, которые позволяют пользователю легко адаптироваться к новым условиям, не требуя значительных усилий для переориентации и понимания происходящего. Оптимизация визуальных подсказок, звукового сопровождения и тактильной обратной связи, а также обеспечение плавных и логичных переходов, способствуют снижению когнитивной нагрузки и повышению комфорта взаимодействия в виртуальной реальности.
Исследования показали, что включение элементов, опирающихся на мышечную память, способно значительно повысить эффективность и комфорт взаимодействия в виртуальной реальности. Когда интерфейс позволяет пользователю совершать знакомые движения, основанные на уже сформированных моторных навыках, когнитивная нагрузка снижается, поскольку мозгу требуется меньше усилий для интерпретации и выполнения действий. Это особенно важно при переключении между виртуальными мирами, где поддержание чувства присутствия и предотвращение дезориентации являются ключевыми задачами. Использование повторяющихся жестов и интуитивно понятных схем управления позволяет создать более плавный и естественный пользовательский опыт, минимизируя риск возникновения укачивания и повышая общее удовлетворение от использования VR-системы.
Интерфейс «Hand Palette» продемонстрировал высокий уровень удобства использования, получив оценку 78.1 по шкале System Usability Scale (SUS). Этот показатель свидетельствует о значительном превосходстве данного интерфейса над существующими аналогами в плане простоты освоения и эффективности взаимодействия. Полученные результаты указывают на то, что «Hand Palette» обеспечивает более интуитивное и комфортное переключение между виртуальными средами, снижая когнитивную нагрузку на пользователя и способствуя более продолжительному и продуктивному пребыванию в виртуальной реальности. Высокая оценка SUS подтверждает потенциал данного интерфейса для широкого применения в различных VR-приложениях и служит основой для дальнейших исследований в области оптимизации взаимодействия человека с виртуальной реальностью.
Исследование интерфейсов для переключения между виртуальными мирами неизбежно сталкивается с проблемой сохранения ощущения присутствия и когнитивной нагрузки. Данная работа подчеркивает, что эффективное переключение требует не просто технической реализации, но и учета человеческого восприятия пространства. В этом контексте, слова Линуса Торвальдса особенно актуальны: «Плохой код подобен раку. Он может поразить любую часть системы». Непродуманный интерфейс, создающий когнитивный диссонанс при переходе между мирами, подобен этому раку — он разъедает целостность опыта и снижает производительность. WiM-превью, предложенные в исследовании, можно рассматривать как попытку «вылечить» систему, предоставив пользователю необходимую информацию для осознанного перехода и поддержания пространственной ориентации.
Куда же дальше?
Исследование переходов между виртуальными мирами, как показано в данной работе, лишь приоткрывает завесу над сложной проблемой создания действительно бесшовного опыта. Не стоит полагать, что элегантный интерфейс — это лишь набор тщательно выверенных жестов и предпросмотров. Скорее, это экосистема, в которой пространственная осведомленность и удобство взаимодействия растут нелинейно, подобно саду, требующему постоянного внимания и заботы. Очевидно, что простота переключения — это не самоцель, а лишь условие для более сложных задач, которые пользователь захочет решать в этих мирах.
Ключевым вопросом остается устойчивость системы к ошибкам и непредсказуемости действий пользователя. Устойчивость не в изоляции компонентов, а в их способности прощать ошибки друг друга, адаптироваться к неожиданным ситуациям и предоставлять понятные сигналы в случае сбоя. Игнорирование этого аспекта чревато накоплением “техдолга”, который в конечном итоге разрушит иллюзию погружения.
Вместо того, чтобы стремиться к созданию идеальной машины для переходов, следует сосредоточиться на развитии “сада”, в котором каждый элемент способствует общему благополучию системы. Будущие исследования должны быть направлены на изучение динамики взаимодействия между пользователем и виртуальным пространством, а также на разработку методов адаптации интерфейса к индивидуальным потребностям и предпочтениям. Иначе говоря, не строить мосты, а взращивать переходы.
Оригинал статьи: https://arxiv.org/pdf/2602.01423.pdf
Связаться с автором: https://www.linkedin.com/in/avetisyan/
Смотрите также:
- Рынок в ожидании ставки: что ждет рубль, нефть и акции? (20.03.2026 01:32)
- Что такое Bazzite и лучше ли она, чем Windows для PC-гейминга? Я установил этот набирающий популярность дистрибутив Linux, чтобы проверить это самостоятельно.
- vivo S50 Pro mini ОБЗОР: объёмный накопитель, портретная/зум камера, большой аккумулятор
- Неважно, на что вы фотографируете!
- vivo iQOO Z10x ОБЗОР: яркий экран, удобный сенсор отпечатков, объёмный накопитель
- vivo Y05 ОБЗОР: удобный сенсор отпечатков, плавный интерфейс, яркий экран
- Космос в деталях: Навигация по астрономическим данным на иммерсивных дисплеях
- Huawei P30 pro
- vivo Y51 Pro ОБЗОР: плавный интерфейс, яркий экран, большой аккумулятор
- Российский рынок: Рубль под давлением, нефть растет, «Полюс» разочаровывает (16.03.2026 19:32)
2026-02-03 08:56